✏️ Fisher Discriminant Analysis 이란??
FDA 혹은 Linear Discriminant Analysis (LDA)라고 불리며,
데이터들을 하나의 직선으로 Projection 시킨 후, Projection된 Data들 간의 구분이 잘 되는 지
판단해주는 방식
판단 방식의 기준은 Projection 후, 두 데이터들의 중심(평균)이 서로 멀수록 + 분산이 작을수록 구분이 잘 되었다고 판단 할 수 있으며, 잘 분류 되게끔 하나의 Vector의 w를 구하는 것이 LDA 이다.

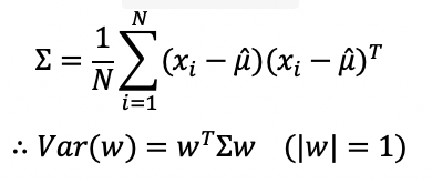
✏️ Variance 구하는 방식


데이터 D = {x}iN 라고 할 때, 원래의 data들의 평균, projection된 data들의 평균, 그 이후 w 방향에 따라 projection된 data들의 분산을 구하는 방식이 위 - 오른쪽 그림이다.
||w||=1으로 생각을 하기 때문에, 위와 같은 식으로 구할 수 있다.
가운데 [ ]안의 식은 covariance Matrix(∑, 공분산행렬 , x가 D차원 벡터일 때 DxD matrix)로 표현할 수 있다.

클래스 내 분포 형태에 의한 문제와 해당 데이터에서 이상적인 LDA에 대한 그림이며, 클래스간 거리만 고려한 경우 최적의 Vector w를 잘못 찾을 가능성이 높다. 따라서 클래스 간의 거리 뿐 아니라 클래스 내 분산(within class scatter)도 고려하는 것이 좋다는 것을 알 수 있다. 즉 projection된 class 간 거리가 멀 수록, projection된 class 내 분산이 작을수록 최적이며, FDA, LDA의 핵심 알고리즘이라고 할 수 있다.

// 계산식 참고 블로그
https://lutecevision.tistory.com/1
Fisher Linear Discriminant Analysis (LDA)
fisher LDA는 d차원 상의 데이터 집합을 선형 결합으로 표현하였을 때, 속한 클래스의 구분이 가장 용이한 1차원 공간으로 프로젝션하는 방법으로 데이터를 분석하는 기법이다. Ronald Aylmer Fisher에
lutecevision.tistory.com
'Computer Science > 대학원 기록' 카테고리의 다른 글
| [해외 논문 리뷰] 메모, Tip (0) | 2023.09.30 |
|---|---|
| 신경 정보 처리 - midterm examination / 5월 9일(화) (0) | 2023.05.17 |
| [컴퓨터 알고리즘] in place / not in place 정렬 알고리즘 (0) | 2023.04.13 |
| [컴퓨터 알고리즘] 시간 복잡도 기본 (1) | 2023.04.12 |
| [Computer Vision] Histogram Equalization (0) | 2023.03.25 |